請教一下 房市要看的,是看「戶數」吧 一房一戶,戶數增加多少,就有多少房屋需求 這樣看來 全台灣各縣市都對房屋需求很強啊 畢竟戶數成長,就是要那麼多房子來消化 而有些縣市人口減少 這應該影響不大吧 本來台北老公寓一戶擠兩大兩小 現在兩個子女長大了,被擠去外縣市買房子 這樣外縣市就有兩戶的需求,而台北老公寓還是有兩老要住 這樣人口外移也不會影響到房價啊? 不過就是人口減壓而已 更不用說台北市的戶數還增加勒 代表台北市的房價需求其實是增加的不是嗎? 所以我就不懂有人說什麼台北人口減少,房價還那麼高,是泡沫是什麼邏輯 ※ 引述《zwchih (風言風語)》之銘言: : https://i.imgur.com/N6GrYLn.jpg
: https://i.imgur.com/tWltJaW.jpg
: https://i.imgur.com/vHVNJgA.jpg
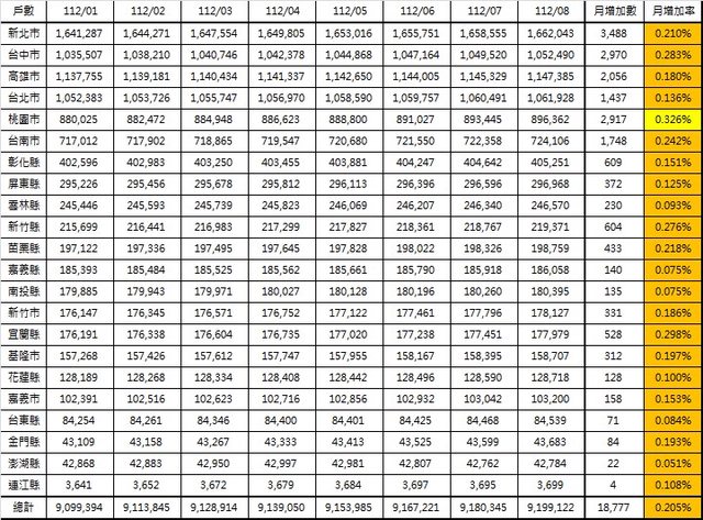
: 2023年08月全國人口出爐 : 人口:23,399,654 : 增加:7,231(+0.031%) : 戶數:9,199,122 : 增加:18,777(+0.205%) : 戶量(人口/戶數):2.544 : 減少:-0.173% : (人口) : 減少組: : 1. 嘉義縣:-368(-0.076%) : 2. 南投縣:-341(-0.0713%) : 3. 雲林縣:-469(-0.0709%) : 4. 彰化縣:-748(-0.060%) - 量最多 : 5. 台東縣:-126(-0.059%) : 6. 屏東縣:-430(-0.054%) : 7. 花蓮縣:-78(-0.025%) : 8. 台北市:-355(-0.014%) : 9. 基隆市:-43(-0.012%) : 增加組: : 1. 連江縣:+23(+0.164%) : 2. 桃園市:+3,205(+0.139%) - 量最多 : 3. 金門縣:+181(+0.126%) : 4. 新竹縣:+515(+0.088%) : 5. 台中市:+2,213(+0.078%) : 6. 新北市:+2,846(+0.071%) : 7. 新竹市:+159(+0.035%) : 8. 澎湖縣:+32(+0.030%) : 9. 台南市:+499(+0.027%) : 10. 宜蘭縣:+119(+0.026%) : 11. 苗栗縣:+87(+0.016%) : 12. 高雄市:+284(+0.0104%) : 13. 嘉義市:+26(+0.0099%) : (戶數) : 1. 桃園市:+2,917(+0.326%) : 2. 宜蘭縣:+528(+0.298%) : 3. 台中市:+2,970(+0.283%) : 4. 新竹縣:+604(+0.276%) : 5. 台南市:+1,748(+0.242%) : 6. 苗栗縣:+433(+0.218%) : 7. 新北市:+3,488(+0.210%) - 量最多 : 8. 基隆市:+312(+0.197%) : 9. 金門縣:+84(+0.193%) : 10. 新竹市:+331(+0.186%) : 11. 高雄市:+2,056(+0.180%) : 12. 嘉義市:+158(+0.153%) : 13. 彰化縣:+609(+0.151%) : 14. 台北市:+1,437(+0.136%) : 15. 屏東縣:+372(+0.125%) : 16. 連江縣:+4(+0.108%) : 17. 花蓮縣:+128(+0.100%) : 18. 雲林縣:+230(+0.093%) : 19. 台東縣:+71(+0.084%) : 20. 嘉義縣:+140(+0.0753%) : 21. 南投縣:+135(+0.0749%) : 22. 澎湖縣:+22(+0.051%) -- ※ 發信站: 批踢踢實業坊(ptt.org.tw), 來自: 36.234.198.97 (臺灣) ※ 文章網址: https://ptt.org.tw/home-sale/M.1694311585.A.EEE
chen831030: 這次是小弟,對吧? 09/10 10:10
Francix: 台北的確是漲最少的 09/10 10:28
Francix: 台北不少還是跌價的 09/10 10:29
iamneptune: 台北崩潰 09/10 10:35
encoreg57985: 幾年後或十幾年後戶數會開始減少 09/10 10:46
Elfego: 亞洲最大包養平台上線了 09/10 10:46
inji: 但應該還要看空屋率或是貸售量,搞不好一堆房子惜售 09/10 11:03
kusomanfcu: https://i.imgur.com/wPaS3Ti.jpg 09/10 11:16
kusomanfcu: https://i.imgur.com/DlCsvFK.jpg 09/10 11:18
kusomanfcu: 對啊 你們可以三芝 石門 萬里 平溪實現居住正義 09/10 11:19
kusomanfcu: 高雄人可以去那馬夏 09/10 11:19
Nicodim: 包養SD = SugarDaddy? 09/10 11:19
kusomanfcu: 或甲仙 09/10 11:19
kusomanfcu: https://i.imgur.com/nZEE4kO.jpg 09/10 11:20
kusomanfcu: https://i.imgur.com/QM0HVFf.jpg 09/10 11:21
mitic1029: 就首都還要問,有的是人接盤 09/10 11:50
labdog: 笑死,還有人在買台北喔? 09/10 12:03
Foning: 這個包養網正妹好多 是真的嗎 09/10 12:03
hune: 台北就是台積電 早早漲幅就已滿足 資金只想往有爆發淺力的地 09/10 13:07
hune: 方跑 台北已經沒有翻倍或翻三倍的可能 其他重劃區有 09/10 13:07
hune: 房價1字頭漲到3字頭就是翻2~3倍 台北8字頭想翻1.5倍都困難 09/10 13:09
hune: 機師醫生都不見的扛的起房貸 09/10 13:09
layer0930: 台中那個增加數是外勞好嗎 09/10 13:44
AKNY: 真的有這麼多人在找包養 09/10 13:44
layer0930: 如果真的首都南遷要發展台南 台中 09/10 13:45
layer0930: 那我下半輩子,根本不用工作了 09/10 13:45