作者zwchih (風言風語)
標題[閒聊] 2023年12月全國人口資訊
時間2024-01-14 08:15:55
https://i.imgur.com/lw7UBL1.jpg
https://i.imgur.com/0YEDtwe.jpg
https://i.imgur.com/OQnASyk.jpg

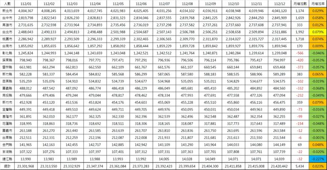
2023年12月人口出爐
人口總計:23,420,442(+5,434 / +0.023%)
戶數總計:9,240,823(+6,897 / +0.075%)
戶量總計:2.534(-0.051%)
(人口)
減少組:
1. 連江縣:-32(-0.227%)
2. 嘉義縣:-332(-0.068%)
3. 雲林縣:-373(-0.057%)
4. 屏東縣:-420(-0.053%)
5. 南投縣:-232(-0.049%)
6. 花蓮縣:-154(-0.048%)
7. 彰化縣:-566(-0.046%) - 量最多
8. 基隆市:-99(-0.027%)
9. 澎湖縣:-22(-0.020%)
10. 苗栗縣:-102(-0.019%)
11. 宜蘭縣:-73(-0.016%)
12. 嘉義市:-12(-0.005%)
13. 台東縣:-6(-0.003%)
增加組:
1. 台北市:+1,992(+0.0794%)
2. 新竹市:+359(+0.0787%)
3. 桃園市:+1,718(+0.074%)
4. 新竹縣:+383(+0.065%)
5. 台中市:+1,659(+0.058%)
6. 金門縣:+69(+0.048%)
7. 新北市:+1,174(+0.029%)
8. 高雄市:+333(+0.012%)
9. 台南市:+170(0.009%)
(戶數)
減少組:
1. 花蓮縣:-6(-0.005%)
增加組:
1. 桃園市:+1,288(+0.143%)
2. 台中市:+1,354(+0.128%)
3. 新竹縣:+252(+0.114%)
4. 新竹市:+203(+0.113%)
5. 金門縣:+43(+0.098%)
6. 新北市:+1,466(+0.088%) - 量最多
7. 台南市:+499(+0.069%)
8. 苗栗縣:+116(+0.0581%)
9. 屏東縣:+172(+0.0578%)
10. 高雄市:+658(+0.057%)
11. 連江縣:+2(+0.054%)
12. 彰化縣:+184(+0.0453%)
13. 台東縣:+38(+0.0449%)
14. 台北市:+403(+0.038%)
15. 宜蘭縣:+66(+0.037%)
16. 嘉義市:+32(+0.031%)
17. 南投縣:+49(+0.027%)
18. 澎湖縣:+8(+0.019%)
19. 雲林縣:+42(+0.017%)
20. 基隆市:+18(+0.011%)
21. 嘉義縣:+10(+0.005%)
(戶量) - 全面減少
1. 連江縣:-0.281%
2. 屏東縣:-0.111%
3. 彰化縣:-0.091%
4. 苗栗縣:-0.077%
5. 南投縣:-0.076%
6. 嘉義縣:-0.0738%
7. 雲林縣:-0.0735%
8. 台中市:-0.070%
9. 桃園市:-0.068%
10. 台南市:-0.0595%
11. 新北市:-0.0587%
12. 宜蘭縣:-0.053%
13. 金門縣:-0.050%
14. 新竹縣:-0.049%
15. 台東縣:-0.048%
16. 高雄市:-0.045%
17. 花蓮縣:-0.044%
18. 台北市:-0.041%
19. 澎湖縣:-0.0389%
20. 基隆市:-0.0386%
21. 嘉義市:-0.036%
22. 新竹市:-0.035%
--
※ 發信站: 批踢踢實業坊(ptt.org.tw), 來自: 114.25.128.93 (臺灣)
※ 文章網址: https://ptt.org.tw/home-sale/M.1705191357.A.4D0
→ sbshiu: 竟然是…增加耶@@ 01/14 08:39
推 Celtic8879: 今年每個月都是增加阿 01/14 08:52
→ zwchih: 主要還是社會增加,自然增加還是負的 01/14 09:11
推 lupolewis: 可以問一下戶量跟戶數差在哪嗎? 01/14 10:02
→ zwchih: 戶量是每戶的人數 01/14 11:47
推 UNIQC: 包養真亂 01/14 11:47 → asdzxc001: 什麼?少子化? 01/14 13:12
推 newstyle: 台北市竟然增加那麼多?! 01/14 21:43